Comment fonctionne un échangeur de chaleur à plaques ?

Principe de fonctionnement de l'échangeur à plaques 

Ceux qui souhaitent se familiariser avec le fonctionnement des échangeurs de chaleur à plaques trouveront ici les principes de base de l'échange thermique.

Selon les lois naturelles de la physique, l'énergie présente dans un système tend toujours à atteindre l'équilibre. Tant qu'il existe une différence de température, la chaleur quittera le corps ou le liquide chaud pour être transférée vers le corps ou le liquide froid. Un échangeur de chaleur respecte ce principe d'égalisation.

Avec un échangeur de chaleur à plaques, la chaleur passe facilement à travers la surface séparant le fluide chaud et le fluide froid. Cela permet de chauffer ou de refroidir des liquides ou des gaz avec des niveaux d'énergie minimaux. La différence de température constitue l'énergie motrice de l'échangeur.


Types d'échangeurs selon les fluides

Échangeurs de chaleur air-eau

  • Condenseurs à air
  • Refroidisseurs de liquide à refroidissement par air
  • Refroidisseurs de gaz à air
  • Refroidisseurs d'air/refroidisseurs
  • Chauffe-air

Plate-Heat-exchangers-AlfaLaval-portfolio.jpg

Échangeurs de chaleur eau-huile

L'échange de chaleur est régi par des lois spécifiques :

  • La chaleur se propage toujours d'un corps chaud à un corps froid.
  • Il est essentiel qu'il y ait une différence de température entre les deux corps ou fluides.
  • La chaleur se propage d'un corps plus chaud à un corps plus froid, à l'exception de certaines dispersions dans l'environnement.

Théories de base du transfert de chaleur : 

La chaleur peut être transférée de trois manières différentes : rayonnement, conduction, convection.

  • Rayonnement : l'énergie est transférée par rayonnement électromagnétique (par exemple, le soleil qui chauffe la Terre).
  • Conduction : l'énergie est transférée d'un corps stationnaire à un autre par le mouvement des atomes ou des molécules.
  • Convection : lorsqu'un fluide est mélangé à un autre. Il est toutefois essentiel d'apporter une précision : la convection peut être de deux types, naturelle ou forcée.
  • Naturel : lorsque la différence de densité entre deux fluides provoque un mouvement et que les différences de température s'équilibrent.
    Forcé, lorsqu'un facteur externe provoque le mouvement du fluide (comme une pompe).

Qu'est-ce qu'un échangeur de chaleur et comment fonctionne-t-il ?

Pour résoudre un problème thermique, il est nécessaire de connaître certains paramètres tandis que d'autres peuvent être calculés à l'aide de ceux énumérés ci-dessous. Les six paramètres les plus importants sont donc les suivants : 

  1. La quantité de chaleur à transférer (capacité thermique) ;
  2. La température d'entrée et de sortie du côté primaire et secondaire ;
  3. Les pertes de charge maximales admissibles du côté primaire et secondaire ;
  4. La température maximale de fonctionnement ;
  5. La pression maximale de fonctionnement ;
  6. Le débit sur le côté primaire et secondaire ;
  7. Les types de fluides.

Si le débit, la chaleur spécifique et la différence de température d'un côté sont connus, le potentiel peut être calculé.

Echangeur-thermique-fluide-fonctionnement.jpg

.

Programme thermique

Indique la température d'entrée et de sortie des deux fluides dans l'échangeur de chaleur.

  • T1 = Température à l'entrée - côté chaud
  • T2 = Température de sortie - côté chaud
  • T3 = Température d'entrée - côté froid
  • T4 = Température de sortie - côté froid

Le programme thermique est présenté dans le schéma ci-dessous.

Schema-thermique-echangeur-de-chaleur.jpg

Difference-température-moyenne-logarithmique.JPG

Puissance

Sans tenir compte de la perte de chaleur dans l'atmosphère, qui est négligeable, la chaleur perdue (puissance) d'un côté de l'échangeur de chaleur à plaques est équivalente à la chaleur gagnée de l'autre côté. La puissance (P) est exprimée en kW ou en kcal/h.

 

Différence de température moyenne logarithmique

La différence de température moyenne logarithmique (LMTD) est la force de transmission effective dans l'échangeur de chaleur. (schéma au dessus)

 

Longueur thermique

La longueur thermique (Θ) est le rapport entre la différence de température Δt sur un côté et la LMTD.

Θ=Δt/LMTD

La longueur thermique indique la difficulté d'une application d'un point de vue thermique.

 

Densité

La densité (ρ) est la masse par unité de volume et s'exprime en kg/m3 ou kg/dm3.

 

Refroidissement

Dans certains cas, comme les applications de refroidissement, le programme thermique est très critique et nécessite des approches précises pour différentes températures. C'est ce qu'on appelle la longueur thermique élevée et elle nécessite des unités spécifiques. Par longueur thermique élevée, nous entendons les cas dont les valeurs de Θ > 1 et qui sont caractérisés par :

  • plaques longues, donc plus de temps nécessaire au refroidissement du liquide
  • basse pression, donc moins bonne répartition du liquide à refroidir.

Les échangeurs de chaleur à plaques sont plus efficaces que les échangeurs de chaleur à calandre pour gérer les valeurs de longueur thermique élevées. Les échangeurs de chaleur à coquille et à tube peuvent atteindre des valeurs de thêta ~ 1, tandis que les échangeurs de chaleur à plaques atteignent même des valeurs supérieures à 10. Pour atteindre ces valeurs, dans le cas des échangeurs de chaleur à calandre, il serait nécessaire de mettre plusieurs unités en série.

 

Débit

Il peut être exprimé de deux manières différentes : en poids ou en volume. Les unités de débit en poids sont en Kg/s ou kg/h, les unités de débit en volume sont en m3/h ou l/min. Pour convertir les unités de volume en unités de poids, le débit volumique doit être multiplié par la densité. 

Le débit maximal détermine généralement le type d'échangeur de chaleur qui convient à un usage spécifique. Les échangeurs de chaleur à plaques Alfa Laval peuvent être utilisés pour des débits allant de 0,05 kg/s à 1400kg/s. En termes de volume, cela équivaut à 0,18 m3/h à 5000 m3/h dans une application d'eau. Si le débit dépasse ces valeurs, il sera possible de diviser le débit en plusieurs unités en parallèle.

 

Perte de charges

La perte de charges (Δρ) est inversement proportionnelle à la taille de l'échangeur de chaleur à plaques. S'il est possible d'augmenter la perte de charge admissible et d'accepter des coûts de pompage plus élevés, l'échangeur de chaleur sera plus petit et moins cher. À titre indicatif, des chutes de pression comprises entre 20 et 200 kPa sont considérées comme normales pour les applications eau/eau.

 

Chaleur spécifique

La chaleur spécifique (cρ) est la quantité d'énergie nécessaire pour augmenter d'un degré centigrade 1 kg de substance. La chaleur spécifique de l'eau à 20 °C est de 4182 kJ/kg °C ou 1,0 kcal/kg °C.

 

Viscosité des liquides

La viscosité mesure la facilité d'écoulement d'un liquide. Plus la viscosité est faible, plus la facilité d'écoulement est grande. La viscosité est exprimée en centipoises (cP) ou en centistokes (cSt).

 

Coefficient global de transfert thermique

Le coefficient global de transfert de chaleur (k) mesure la résistance du transfert de chaleur, qui est composée de la quantité d'encrassement, de la nature des fluides et du type d'échangeur de chaleur utilisé. Le coefficient global de transfert de chaleur est exprimé en W/m2 °C ou en kcal/h, m2 °C.

schema-echange-thermique-eleve.jpg

schema-echange-thermique-reduit.jpg

.

Méthode de calcul

La charge thermique d'un échangeur de chaleur peut être calculée à l'aide des 2 formules suivantes :

 1. Calcul du potentiel, du thêta et du LMTD

equation-echange-de-chaleur.jpg

Theta.JPG

Où :

P = capacité (kW)
m = débit massique (kg/s)
= chaleur spécifique (kJ/kg°C)
Δt = différence entre les températures d'entrée et de sortie d'un côté (°C)
k = coefficient de transfert de chaleur (W/m2°C) 
A = surface de transfert de chaleur (m2)
LMTD = différence de température moyenne logarithmique

Le LMTD peut être calculé à l'aide de la formule suivante, où ΔT1 = T1 − T4 AND Δ2 = T2 − T3

Difference-température-moyenne-logarithmique.JPG

T1 = Température à l'entrée - côté chaud

T2 = Température de sortie - côté chaud

T3 = Température d'entrée - côté froid

T4 = Température de sortie - côté froid


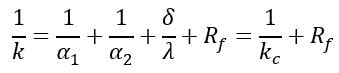
2. Coefficient de transfert de chaleur et marge de conception

Le coefficient de transfert thermique global total k est défini comme suit :

coefficient-transfert-de-chaleur.JPG

La marge de conception (M) est calculée comme suit : 

marge-conception.JPG

Plus la valeur kc est élevée, plus la valeur Rf sera faible pour obtenir la même marge de conception.

Chaque paramètre de l'équation peut influencer le choix de l'échangeur de chaleur. Le choix des matériaux a généralement peu d'influence sur l'efficacité, mais seulement sur la résistance et les propriétés de corrosion de l'unité. 

Dans un échangeur de chaleur à plaques, il est possible de bénéficier de petites différences de température et d'une épaisseur de plaques comprise entre 0,3 et 0,6 mm. Les valeurs alpha sont produites par une très forte turbulence et le facteur d'encrassement est généralement très faible. Ceci définit un coefficient k qui peut être dans l'oridne de 8000 W/m2°C dans des circonstances favorables.

Avec les échangeurs de chaleur classiques à calandre et à tubes, le coefficient k sera inférieur à 2500 W/m2°C.


Facteurs importants pour minimiser le coût de l'échangeur de chaleur :

  1. Perte de charge - Plus la perte de charge admissible est élevée, plus la surface d'échange de chaleur requise est petite.
  2. LMTD - Plus la différence de température entre les fluides est grande, plus la taille de l'échangeur de chaleur est petite. 

Matériaux de construction

La plupart des échangeurs thermiques Alfa Laval pour les applications eau/eau utilisent des plaques en acier inoxydable AISI 316 de haute qualité. Lorsque la teneur en chlorure ne nécessite pas l'utilisation de l'acier inoxydable AISI 316, on peut utiliser l'acier inoxydable AISI 304, moins coûteux. Des plaques en différents matériaux sont également disponibles pour diverses applications. Pour les échangeurs de chaleur à plaques brasées Alfa Laval, l'acier inoxydable AISI 316 est toujours utilisé. Pour l'eau de mer et l'eau saumâtre, il faut utiliser uniquement du titane 1 (pur à 99,6 %) en faible quantité. 

Limites de température et de pression

La température et la pression maximale qu'un échangeur peut atteindre influencent son coût. En règle générale, on peut dire que plus la température et la pression maximale sont basses, plus le prix est bas. 

Facteurs de salissure et d'encrassement

L'encrassement admissible peut être exprimé sous la forme d'une marge de conception (M) (c'est-à-dire un pourcentage supplémentaire de la surface d'échange de chaleur) ou d'un facteur d'encrassement, exprimé en m2°C/W ou M2h°C/kcal.

Le facteur Rf doit être beaucoup plus faible pour un échangeur de chaleur à plaques que pour un échangeur de chaleur à calandre.

Des valeurs k plus élevées impliquent des facteurs d'encrassement plus faibles.

La conception des échangeurs de chaleur à plaques implique une turbulence, et donc une efficacité thermique beaucoup plus élevée que celle des échangeurs de chaleur à calandre. Le coefficient k typique (eau/eau) d'un échangeur de chaleur à plaques est de 6 000 à 7 500 W/m2°C, alors qu'un échangeur de chaleur à calandre typique ne donne que 2 000 à 2 500 W/m2°C.

Une valeur Rf typique utilisée pour les échangeurs de chaleur à coquille et à tube est de 1 x 10-4m2C/W. Avec des valeurs k de 2000-2500 W/m2°C, la marge est de 20-25%. (M = Kc x Rf).

Pour obtenir M = 20-25% dans l'échangeur de chaleur à plaques avec 6000-7500 W/m2°C, il suffit que la valeur Rf soit de 0,33 x 10-4m2 °C/W.

Différence dans la façon dont la marge est ajoutée

Dans un échangeur de chaleur tubulaire, la marge est généralement ajoutée en augmentant la longueur des tubes, en maintenant le même flux dans chaque tube. Dans un échangeur de chaleur à plaques, la marge est augmentée en ajoutant des canaux parallèles, c'est-à-dire en diminuant le débit par canal et en obtenant ainsi un rapport turbulence/efficacité plus faible, ce qui augmente le risque d'encrassement. Un facteur d'encrassement trop élevé peut entraîner davantage d'encrassement ! 

Pour un échangeur de chaleur à plaques dans une application eau/eau, une marge de 0-15%, en fonction de la qualité de l'eau, est généralement suffisante.

.

Questions fréquemment posées sur les échangeurs thermiques à plaques

Quels sont les différents types d'échangeurs thermiques à plaques ?

Il existe de nombreux types d'échangeurs thermiques à plaques, avec différentes conceptions destinées à être parfaitement adaptées à différents types d'applications spécifiques et de conditions de processus. D'une manière générale, les principales catégories d'échangeurs thermiques à plaques courants sont :

Échangeurs thermiques à plaques brasées
Échangeurs thermiques à plaques fusionnées
Échangeurs thermiques à plaques gaz-liquide
Échangeurs thermiques à plaques et joints
Échangeurs thermiques à plaques semi-soudées et bâti
Échangeurs thermiques spiralés
Échangeurs thermiques à plaques soudées et bloc
Échangeurs thermiques à plaques soudées et calandre
Échangeurs thermiques à circuit imprimé

 

Comment choisir la bonne taille d'échangeur thermique à plaques ?

En fonction des besoins et des exigences de capacité de votre processus, Alfa Laval peut vous aider à sélectionner la taille optimale d'échangeur thermique à plaques pour votre tâche. Veuillez consulter ces outils en ligne pour obtenir des conseils :

Guide des produits Alfa Laval pour les applications générales de refroidissement et de chauffage

HEXpert pour les tâches d'échange thermique dans l'industrie de process

 

Quels échangeurs thermiques conviennent à l'industrie Chauffage, Refroidissement et Climatisation  ?

Les échangeurs thermiques à plaques sont utilisés dans un large éventail de tâches, dans quasiment toutes les industries, dans le monde entier. 
Les applications Chauffage, Refroidissement et Climatisation typiques comprennent :

Climatisation et pompes à chaleur
Chauffage résidentiel et eau chaude sanitaire
Refroidissement et climatisation
Réfrigération

 

Quel type d'échangeur thermique convient le mieux aux réfrigérants naturels et synthétiques à faible PRG ?

Les propriétés des différents réfrigérants à faible PRG nécessitent des échangeurs thermiques à la conception adaptée. Alfa Laval compte parmi les meilleurs experts en utilisation de réfrigérants synthétiques et naturels à faible potentiel de réchauffement global (PRG). Nos échangeurs thermiques répondent aux exigences uniques des applications recourant aux hydrocarbures, CO2 et de l'ammoniac.

La section Banque de connaissances de la plateforme Chauffage et refroidissement Alfa Laval propose des vidéos expliquant les difficultés et les possibilités créées par les réfrigérants à faible PRG, ainsi qu'un livre blanc détaillé disponible en téléchargement.

 

Que signifie AHRI  ?

L'Institut de la climatisation, du chauffage et de la réfrigération (Air-conditioning, Heating, and Refrigeration Institute) propose la seule certification indépendante du marché garantissant un fonctionnent conforme aux déclarations publiées par les fabricants des échangeurs thermiques des applications de chauffage, de ventilation, de climatisation, de réfrigération et de chauffage de l'eau . Alfa Laval dispose de la certification AHRI pour les échangeurs thermiques à plaques et joints, les échangeurs thermiques à plaques brasées et les échangeurs thermiques à plaques fusionnées.

Vous pouvez en savoir plus sur l'AHRI ici.

 

.

Comprendre les échangeurs thermiques à plaques

En quoi les échangeurs à plaques et joints se différencient technologiquement et quels sont leurs avantages ?

Télécharger les ressources GPHE

energy hunter screen view

Estimer la chaleur fatale valorisable

Notre outil de calcul en ligne "Energy Hunter" estime les quantités et le montant des économies que vous pouvez réaliser sur :

  • la quantité de chaleur fatale récupérable
  • la réduction des émissions de CO2 
  • la réduction de la consommation d’eau

Estimer en ligne la chaleur fatale valorisable

Comment choisir le bon échangeur thermique ?

Gagnez du temps et faites le bon choix dès le départ ! Nos calculateurs en ligne vous aident à identifier le type d'échangeur adapté à vos projets en industrie lourde ou HVAC.

Projets industriels